Процесс синтеза растений описывается химической реакцией
Цикл Кальвина с4
Процессы световой фазы фотосинтеза
Схема Темновой фазы фотосинтеза
Образование Глюкозы в процессе фотосинтеза
Фотосинтез схема ЕГЭ
Общая схема хемосинтеза
Фотосинтез на мембранах тилакоидов
Световая фаза АТФ о2
Хемосинтез таблица 10 класс биология
Фотосинтез схема АТФ
Световая фаза и темновая фаза фотосинтеза
Уравнение реакции фотосинтеза и хемосинтеза
Воздушное питание растений фотосинтез
Круговорот углекислого газа в природе
Основное вещество фотосинтеза
Схема синтеза мочевины орнитиновый цикл
Процессы световой фазы фотосинтеза
С4 путь фотосинтеза цикл хетча-слека
Дыхательная цепь митохондрий биохимия схема
Метаболизм опорный конспект
Фотосинтез водорослей
Схема обмена веществ в организме метаболизм
Схема процесса фотосинтеза биология 6 класс
Аэробный гликолиз схема реакций
Гликолиз схема реакций
Уравнение реакции получения сложного эфира
Реакции декарбоксилирования в цикле трикарбоновых кислот
Кинурениновый путь триптофана
Орнитиновый цикл схема
Декарбоксилирование фенилаланина
Схема аэробного распада Глюкозы биохимия
Биосинтез белка в растительной клетке

Реакции гидроксилирования лекарств
Кислородный этап энергетического обмена схема
Орнитиновый цикл
Химический Синтез
Химия органического синтеза
Схема подготовительной стадии энергетического обмена
Схема катаболизма органических веществ
Структура , классификация и функции ферментов
Реакции матричного синтеза схема Синтез белка
Схема использования алканов
Таблица взаимосвязь между классами неорганических соединений
Синтезы на основе этилена
Энергетический обмен в митохондриях схема
Химические свойства углеводов биохимия
Этапы энергия обмена веществ схема
Регуляция обменных процессов в клетке 10 класс
Схема синтеза серотонина из триптофана
Ацетилен винилхлорид поливинилхлорид
Процесс производства аммиачной селитры схема
Схема удобрения азотные удобрения
Биосфера круговорот азота в природе
Хемосинтез это в биологии
Гидрогалогенирование бутена 2
Этапы обмена веществ схема
Ферментативный гидролиз АТФ
Биосинтез Глюкозы глюконеогенез
Схема опыта Миллера
Формула фотосинтеза химия
Аэробное и анаэробное дыхание схема
Кругооборот азота в биосфере
Круговорот веществ углерода схема
Цикл трикарбоновых кислот цикл Кребса
Уравнения реакций с помощью превращения веществ
Ядерные реакции физика примеры
Лоратадин количественное определение
Свободные радикалы и антиоксиданты в организме
Процесс фотосинтеза рисунок
Схему метаболического пути жирных кислот
Реакция из Глюкозы в глюкозо-6-фосфат
Фотосинтез схема АТФ
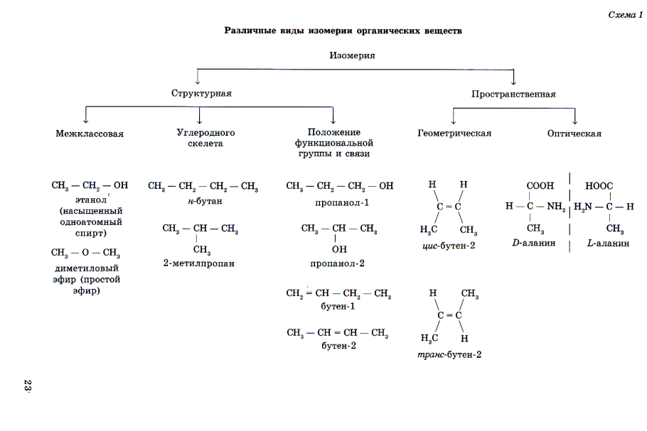
Изомерия органических соединений схема
Схема процесса клеточного дыхания
Цикл Кребса реакции с формулами
Схема процесса производства суспензионного поливинилхлорида
Анаплеротические реакции цикла Кребса таблица
Мембранный транспорт пассивный активный облегченный
Поделиться фото в социальных сетях:
Комментариев (0)
Похожие фото: